Utrechtse muurformules

Het dopplereffect

Wat is het dopplereffect?

Het dopplereffect beschrijft hoe de frequentie van een golf (licht of geluid) afhangt van de relatieve beweging tussen bron en waarnemer. Als de waarnemer en bron dichter naar elkaar toe bewegen, wordt de frequentie (en dus in het geval van geluid de toon) hoger. Als de waarnemer en bron verder zich van elkaar verwijderen, lager. Het dopplereffect is vooral bekend van een ambulance die langsrijdt: de toon wordt hoger als de ambulance naar je toe komt en lager als die van je af gaat.

Stel je een ambulance voor die zich met een bepaalde snelheid naar links beweegt, in de richting van een waarnemer, zie de onderstaande figuur. In de tijd die het duurt voordat de golf bij de waarnemer aankomt, is de ambulance dichterbij gekomen. Een volgende golf hoeft dus een kortere afstand tot de waarnemer af te leggen. De golven verdichten zich in de richting waarin de ambulance zich beweegt. Hoe dichter de golven op elkaar zitten, hoe hoger de toon/frequentie. De waarnemer zal dus een hogere toon/frequentie horen als de ambulance zich in haar/zijn richting beweegt.

Bewegende auto met sirene

Theoretische voorspelling

Rond 1840 was bekend dat sterren een bepaalde kleur licht uitstralen en dat een en dezelfde ster soms verschillende kleuren kan uitstralen. De oorzaak van deze kleurverschuivingen was onbekend. Christian Doppler, hoogleraar in Praag en Wenen, deed onderzoek naar de kleuren van zogenaamde dubbelsterren. Dit zijn twee sterren die om elkaar heen draaien. Doppler had het vermoeden dat het kleurverschil bepaald werd doordat de sterren naar ons toe en van ons af bewegen. Op puur theoretische gronden komt hij tot een formule die we nu kennen als de dopplervergelijking. Deze formule wordt hieronder gegeven. Alhoewel Doppler dus vooral geïnteresseerd was in de implicaties van zijn theorie voor de sterrenkunde, benoemt hij ook dat het effect te horen zou moeten zijn. Geluid is immers, net als licht, een golf. Specifiek schrijft hij dat als een waarnemer zich met een snelheid van 5.4 m/s (ongeveer 20 km/u) beweegt ten opzichte van een geluidsbron, deze persoon een toon zou moeten horen die een kwartnoot verschilt van de toonhoogte uitgezonden door de bron. Dit is hoorbaar voor iemand met een absoluut gehoor.

Meting in Utrecht door Prof. Buys Ballot

Buys Ballot las het artikel met grote interesse en met enige skepsis. “De theorie van Doppler moet worden getest”, want hij vermoedde dat het niet het kleurverschil tussen de sterren kon verklaren. Maar hoe meet je dat effect in een tijd waarin er geen auto’s zijn en een van de snelste voertuigen paard en wagen is? Gelukkig voor Buys Ballot was er juist op dat moment een spoorlijn aangelegd tussen Utrecht en Maarssen. Samen met zijn promotor Prof. Van Rees legt hij contact met de minister om de beschikking te krijgen over een locomotief om zijn experiment uit te voeren. De minister stemt in met het voorstel en Buys Ballot kan zijn proeven doen. De eerste meting vindt plaats op een koude februaridag in 1845. Sneeuw en hagel zorgen ervoor dat de experimenten na een aantal testmetingen moeten worden gestaakt. In juni van datzelfde jaar wordt er weer een poging gewaagd. Dit keer met succes. Op drie plekken langs het spoor worden waarnemers neergezet die uitgekozen zijn omdat ze verschillen van achtsten van een toon zouden moeten kunnen horen. De trein met daarop een hoornist rijdt voorbij met snelheden die oplopen tot 75 km/u. De verzamelde data is consistent en overtuigend. Het effect voorspelt door Doppler blijkt perfect te kloppen voor geluid. Buys Balot publiceert zijn bevindingen in het zeer gerenommeerde tijdschrift Annalen der Physik (referentie te vinden onder aan de pagina). Daarnaast schrijft Buys Ballot twee artikelen in het muzikale tijdschrift Caecilia (pdf bestanden onder aan de pagina).

Toepassingen van het dopplereffect

In de laatste paragraaf van het tweede artikel in Caecilia, schrijft Buys Ballot het volgende over het nut van zijn werk:

“Vraagt men eindelijk: wat nut geven deze waarnemingen, zo is er voor ‘s hands niets bepaalds voor aan te geven, maar men weet niet hoe onverwachts soms eene nieuwe gevonden waarheid hare toepassing vindt.”

C.H.D. Buys Ballot
1817-1980

Het doppleffect speelt tegenwoordig een belangrijke rol in tal van toepassingen. Het wordt onder andere gebruikt om de snelheid van auto’s te meten, in de medische diagnostiek (echo’s ), en om neerslag te detecteren met behulp van radars (de ‘buienradar’). Het werk van Buys Ballot is dan ook een heel goed voorbeeld van het belang van nieuwsgierigheidsgedreven, ongedwongen onderzoek.

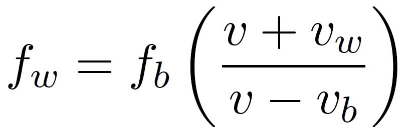
Formule

Formule doppleffectDe waargenomen frequentie kan berekend worden met de bovenstaande formule met:

  • fw : de waargenomen frequentie
  • fb: de uitgezonden frequentie,
  • v: de voorplantingssnelheid van de golf
  • vw de snelheid van de waarnemer
  •  vb de snelheid van de bron

De snelheden vw en vb zijn positief als de waarnemer en bron elkaar naderen en negatief als ze van elkaar af gaan.

Bronnen

Buys Ballot heeft een drietal artikelen geschreven over het dopplereffect.

Akustische Versuche auf der Niederländischen Eisenbahn, nebst gelegentlichen Bemerkungen zur Theorie des Hrn. Prof. Doppler,
Annalen der Physik, 142, 11, pagina 321-352 (1845). (link, in het Duits, niet gratis toegankelijk)

Bedrog van het gehoororgaan in het bepalen van de hoogte van eenen waargenomen toon, Caecilia, 2, 7 pagina 79-81 (1 april 1845) (download pdf)

Bedrog van het gehoororgaan in het bepalen van de hoogte van eenen waargenomen toon, Caecilia, 2, 16 pagina 167-170 (15 augustus 1845) (download pdf)

Meer informatie

Het dopplereffect op: